blog del profe andy
jueves, 19 de mayo de 2011
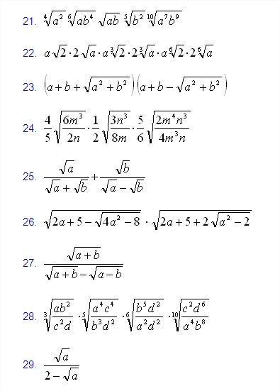
Ejercicios propuestos sobre radicales nivel 2
No hay comentarios:
Publicar un comentario
Entrada más reciente
Entrada antigua
Inicio
Suscribirse a:
Enviar comentarios (Atom)
No hay comentarios:
Publicar un comentario